Drehung ist ein Stück für Posaunisten und Live Elektronik. Grundlage des Stücks ist eine Derwisch-ähniche Drehung des Posaunisten. Um diesen herum ist das Publikum in einem inneren und acht Lautsprecher in einem äusseren Kreis angeordnet. Der Posaunist spielt auf einer Posaune mit zusätzlichem, nach hinten gerichtetem Horn. Sowohl das musikalische Material als auch die genauen zeitlich-formalen Proportionen des Stücks sind nicht präzise vorgegeben respektive werden improvisatorisch erarbeitet. Gegeben ist eine formale Skizze und verschiedene Cues und die von diesen ausgelösten elektroakustischen Mechanismen.
Die Posaune wird direkt an den beiden Hörnern abgenommen. Die aufgenommenen Signale werden mittels an der Posaune fixiertem Kompass relativ zur deren Drehung von den umgebenden Lautsprechern zurückgeworfen.
Formbildend wirken insbesondere die beiden Phasen, in denen der Posaunist innehält und nurmehr einen Schatten der Drehung zurücklässt. Die drei Phasen dazwischen zeichnen sich durch einen Anreicherungsprozess aus.
Bemerkenswert ist dabei unter Anderem, dass die elektroakustische Spiegelung der Posaune beginnt, bevor diese im eigentlichen Sinne gespielt wurde.
Es ist dies ein Hinweis darauf, dass es in Drehung nicht um Bewegung oder Klänge alleine, sondern um eine Verschränkung der beiden zu sich drehenden Klängen respektive einer klingenden Drehung geht.
Dass diese im Stück auf unterschiedlichste Weise wirksam ist, zeigt sich auch darin, dass sie selbst da dominiert, wo die eigentliche Drehung des Posaunisten innehält: Zunächst ist es der Körper des Posaunisten, welcher durch die Bewegung in Gang gesetzt, diese in die Stille fortsetzt. Später ist es ein tatsächlicher Schatten, ein Negativ der Drehung, indem sich der von der Elektroakustik implizierte virtuelle Raum um Publikum und Posaunisten dreht weiterdreht, wenn beide stillstehen. Hinter beidem steht die Frage was eine Drehung ist und insbesondere: wie sie klingt.
Im Folgenden soll eine rudimentäre Analyse verschiedener Aspekte von Drehung und deren Ineinandergreifen versucht werden.
Die Bewegung eines Körpers äussert sich akustisch auf unterschiedliche Weise. Sie hat mehr oder weniger direkt verschiedene Klänge und akustische Effekte zur Folge und wird von diesen wiederum impliziert.
1. Reibung erzeugt Vibration, welche wiederum als Schallwellen über das Ohr wahrnehmbar sind. Dieser mechanisch-akustische Effekt von Bewegung ist in Drehung in zweierlei Weise Ausdruck der zu Grunde liegenden Drehung: Die verschiedenen Teile der Posaune – allen voran der Schalltrichter – werden durch die Luft bewegt. welche wiederum an ihnen gebrochen als Schall wirksam wird.
Die Füsse des Posaunisten bewegen sich dabei über den Boden und werden so als hohes „Schleifen“ hörbar.Wobei die Bewegung durch die Luft vorerst lediglich Ausdruck von Bewegung ist, weist das „Schleifen“ der Füsse über die Periodizität des Schritts schon auf die Form der Drehung hin.
2. Die für die Bewegung notwendige Energie wird vom menschlichen Körper als Organismus geliefert. Dieser erzeugt wiederum auf unterschiedlichste Weise Klang. Dieser organisch-akustische Effekt von Bewegung äussert sich in Drehung im Wesentlichen über das Atmen des Posaunisten respektive dessen Atemfrequenz.
Diese wird direkt im Atmen des Posaunisten und indirekt über den musikalischen Atem respektive die Phrasenbildung wirksam.
3. Der improvisierende Musiker muss in diesem Sinne als Ganzes betrachtet werden, indem nicht nur sein Körper, sondern auch seine musikalischen Entscheidungen von der Drehung beeinflusst werden. Wie zu sehen sein wird, fliessen die verschiedene Effekte der Drehung so auf verschiedenen Ebenen ins Stück ein.
4. Bewegung äussert sich dabei nicht nur in Klangereignissen selbst, sondern kann aus verschiedenen Eigenschaften derselben rekonstruiert werden.
Die vom Posaunisten ausgehenden Schallwellen erreichen den Zuhörer aus einem bestimmten Winkel, respektive werden vom beide umgebenden Raum in spezifischer Weise reflektiert. Aus diesem raumakustischen Bild lässt sich die Position von beiden – Klangkörper und Rezipient – im Raum rekonstruieren.
Die Beschleunigung der Posaune relativ zum Rezipienten wird als Dopplereffekt in gestauchten respektive gedehnten Schallwellen und also Tonhöhenveränderungen wahrnehmbar.
5. Der Klang einer Bewegung kann diese nicht nur impliziert, sondern von dieser wiederum impliziert werden. Gerade in der längeren Passage zu Beginn, da die Drehung nicht unbedingt und direkt hörbar ist, kann daher davon ausgegangen werden, dass sich der Hörer nicht nur mit der Frage konfrontiert sieht, wie diese Drehung klingt, sondern auch mit verschiedenen möglichen Antworten darauf.
All diese verschiedenen Effekte und die darin involvierten Parameter müssen also untersucht werden, um ein Gesamtbild der in Drehung abgebildeten Bewegung zu zeichnen.
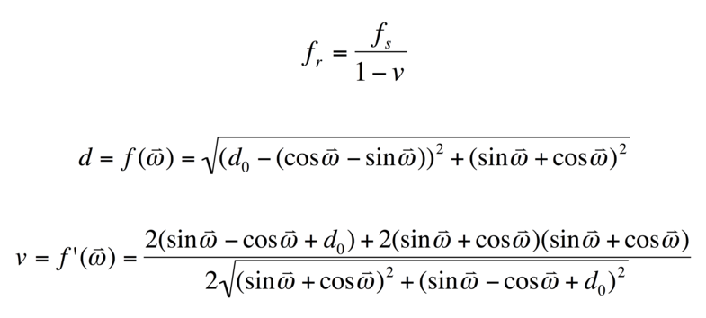
Der Dopplereffekt beschreibt das Verhältnis zwischen der bei einem Rezipienten wahrgenommenen Frequenz (fr) eines bewegten Schallereignisses und dessen eigentlicher Frequenz (fs) bei einer relativen Geschwindigkeit (v) und konstanter Schallgeschwindigkeit. Die relative Entfernung (d) sowie die relative Geschwindigkeit (v) einer drehenden Schallquelle zu einem Rezipienten wiederum lässt sich bei konstantem Radius (1) und konstanter Entfernung zum Drehpunkt (d0) in Abhängigkeit zum Drehwinkel der Posaune (w) beschreiben:
fr schlägt bei konstantem fs also zunächst leicht nach unten, dann stärker nach oben aus. Dieser charakteristische Tonhöhenverlauf impliziert die Drehung einer Schallquelle.
Schon die Begleitfigur in Schuberts Gretchen am Spinnrade D.118 verweist über eine ganz ähnliche Kontur auf die Drehung eines Spinnrads. Die rechte Hand bewegt sich in Sechzehnteln im Ambitus der Quinte d’-a’, wobei sie zunächst relativ steil vom f’ eine Terz nach oben ins a’ springt und dann stufenweise vom f’ übers e’ hinab ins d’ und zurück schreitet.
In Drehung wird analog Drehung impliziert. Die zu Grunde liegende Bewegung ist demnach nicht nur Ursache vieler Klänge, sondern ist mit diesen über eine formale Ähnlichkeit verbunden, indem der beschriebene Tonhöhenverlauf als rhythmische Kontur geradezu motivisch an unterschiedlichster Stelle wirksam ist:
Sowohl das Geräusch der auf dem Boden schleifenden Füsse als auch – ganz abgesehen vom nicht unbedingt hörbaren Herzschlag – der Atemrhythmus des Posaunisten zeigen einen ganz ähnlichen zweiphasigen Amplitudenverlauf.
Der Dopplereffekt als direktes Resultat der Drehung wird durch die über den Boden schleifend dieselbe erzeugenden Füsse also nicht nur hervorgerufen, sondern weist über den hervorgerufenen Klang zugleich eine äussere Ähnlichkeit mit diesen auf.
Analog ist die kurze Sequenz zwischen Minute 3:30 und 4:00 klar geprägt vom Atem des Posaunisten, welcher in seiner Bewegung plötzlich innehält. Der Atemrhythmus ist zwar klar wahrnehmbar, im aufgenommenen Material alleine aber schwerlich nachweisbar. Die Ähnlichkeit ist aber offensichtlich: Die Einatemphase ist kürzer und weniger stark artikuliert als die Ausatemphase, auf die normalerweise eine kurze Pause folgt.
So gesehen hört die Drehung nicht auf, sondern verlagert sich und wird nurmehr durch ihren eigenen Schatten – den durch die Anstrengung prägnanter gewordenen Atem des Posaunisten – impliziert.
Auch die kurzen Einwürfe des Posaunisten, die sich in einer ersten Phase auf Luftklänge beschränken, können mit der rhythmischen Kontur des von der Drehung hervorgerufenen Dopplereffektsnin Verbindung gebracht werden.
Die Posaune beginnt mit einem langgezogenen Luftgeräusch, abgeschlossen von einem kurzen Crescendo und slap-tongue. Der Akzent gegen Ende der kurzen Gestalt verlagert sich sukzessive an den Beginn, indem der Einschwingvorgang klarer artikuliert und der slap am Ende weicher wird.
Die Klangfarbe des sich dabei herauskristallisierenden b wird im weiteren Verlauf immer heller, indem die tieferen Obertöne wegfallen.
Die Distanz zwischen den beiden Akzenten wird nach und nach verringert, indem beide sowohl zeitlich zusammenrücken als auch energetisch durch die Erweiterung des Luftgeräuschs zu einem vollen Atemzyklus (Ein-Ausatmen) zusammenrücken.
Das musikalische Material des Posaunisten lehnt sich also klanglich an die schleifenden Füsse und rhythmisch an die Drehung respektive den damit assoziierten Dopplereffekt an und verweist auf den folgenden Abschnitt, in dem die Drehung stoppt und der Atem des Posaunisten als deren Effekt diese impliziert.
Dieser motivisch-thematische Prozess liesse sich entsprechend als langsames Einschwingen einer damit assoziierten Drehung lesen.
In der Fortsetzung (*) wird der Atemzyklus Ein-Aus entsprechend beschleunigt und ausgebaut. Des Weiteren kommt mit dem periodischen Wechsel zwischen dem vorderen und dem kleineren hinteren Horn eine weitere Dimension ins Spiel, die durch ein Hin und Her auf die zugrundeliegende Drehung verweist.
Obwohl Drehung ein in weiten Teilen improvisiertes Stück ist und daher gerade im Bezug auf die Zeitgestaltung variabel, verrät die formale Skizze des Stücks grundlegendes über eine klar konzipierte Struktur. Demnach wird eine dreiteilige und eine vierteilige Struktur zu einer sechsteiligen überlagert. Diese im Grunde polymetrische Formidee ist in der Drehung des Posaunisten selbst schon angelegt.
Im ersten Abschnitt bis zum ersten Stillstehen des Posaunisten dreht sich dieser 84 mal im Kreis und macht dazu 158 Schritte. Wenn nun die Schritte wie gezeigt unabhängig von der tatsächlichen Drehung des Posaunisten eine solche implizieren, überlagern sich hier zwei Drehungen mit unterschiedlicher Geschwindigkeit zu einer komplexen.
Hinzu kommt die mit dem motivischen Material assoziierte Drehung und die, im Atem des Posaunisten sich fortsetzende. Erstere kann aus dem Spektrogramm rekonstruiert werden.
Neben dem Dopplereffekt erlaubt der umgebende Raum Rückschlüsse auf die Bewegung eines Schallkörpers: Wenn sich der Posaunist dreht, verändert sich das vom umgebenden Raum zurückgeworfene und also vom Rezipienten empfangene Signal.
In Drehung wird das so entstehende Bild der Bewegung des Posaunisten durch Simulation des umgebenden Raumes manipuliert. Das direkt am Schalltrichter abgenommene Signal wird von acht kreisförmig um das Publikum angeordneten Lautsprechern wiedergegeben. Wobei sich diese künstliche Reflektion zunächst noch synchron mit der Posaune dreht – wodurch ein tatsächlich kreisrunder Raum simuliert wird – werden Richtung und Geschwindigkeit in einem Mittelteil relativ zur Posaune nach und nach verändert.
Die beiden Schallquellen – Schalltrichter der Posaune und elektroakustische Reflektion – evozieren dabei neben der eigentlichen Posaune eine virtuelle zweite. Dieser virtuelle Posaunist dreht sich nicht, sondern schlingert und wird dabei pulsierend gedehnt respektive gestaucht.
Zum Kontrapunkt zwischen expliziter Drehung und u.a. im Schleifen der Füsse impliziter kommt hier in einer weiteren Schicht die sich unabhängig davon verändernde Räumlichkeit.
Dessen Dehnung respektive Stauchung spiegelt sich nicht nur im oben gezeigten Prozess, den das musikalische Material der Posaune im ersten Teil durchläuft, sondern in den Klängen der Posaune an sich.
So wird das Spektrum der Klänge um mehrmals gedehnt und gestaucht, wobei eine assoziative Ähnlichkeit zum Geräusch eines sich drehenden Diesel-Anlassers nicht wohl nicht zufällig ist.
Die dem Stück zugrunde liegende Drehung ist also auf unterschiedlichste Weise Ausgangspunkt und Ursache des musikalischen Materials und stiftet insofern Zusammenhang.
Das Stück muss demnach nicht nur vor dem Hintergrund einer rein musikalischen Logik, sondern auch in Anbetracht einer Logik der Bewegung gesehen werden, wobei man nicht umhinkommen wird, erstere um letztere zu erweitern. Das Stück ist insofern beispielhaft dafür, wie Bewegung und deren Wirkungsweise auf unterschiedlichster Ebene Inspirationsquelle und Motor von Musik sind.
Im Rahmen des Forschungsprojektes 'Motion Gesture Music' am Institute for Computer Music and Sound Technology der Zürcher Hochschule der Künste. Siehe die Projekt-Webseite für weitere Informationen.









