Fifth Observation: Highlight Inner Voices
Compared to Saint-Saens, Rachmaninov*s more subtly dislocated performance approach is way closer to the now-adays listening habits.
- Often the melody plays a small gesture surprisingly faster than expected – and the accompaniment comes in "too late" rather than the usual "too early"
- Rachmaninov employs arpeggiation to subtly highlight inner voices, to make them sing with/against a main voice.
Six perhaps provocative imperatives:
1. Make your instrument bloom – find a way of arpeggiating/dislocating that gives your instrument a maximum of resonance. Do that espacially in places, that otherwise seem void.
2. Fill the space between expected and real with an imaginary swelling-up sound of a violin, a port-de-voix or a portamento.
3. Don't be afraid to disorient the ear.
3. Find a maximum of varying arpeggio lengths – no arpeggio may have the same quality in a row
4. Use arpeggiation to reinforce the intensity (which is a product of dynamics, agogics and register).
5. Play the melody voice as free and as capricious as possible. Try to follow in the accompaniment, but never precisely.
6. Use arpeggi to highlight inner voices.
Preliminary Observations on the Recordings
1. There's an extremely varying length of arpeggi – in early recordings much more than in contemporary performances
2. No arpeggiation is the exception. An arpeggio rarely comes alone are rare and have to be seen as a rhethorical moment.
5. If we were to give a charactarization to Llobet's performance, we would find it round, free and very cantabile while the performance of Russell seems to be more bound, static.
6. On the other hand Saint-Saens' performance often seems arbitrary and edgy to the modern ear or positvely spoken perhaps capricious – a consequence of his extreme use of tempo modification in combination with arpeggiation and dislocation.
7.
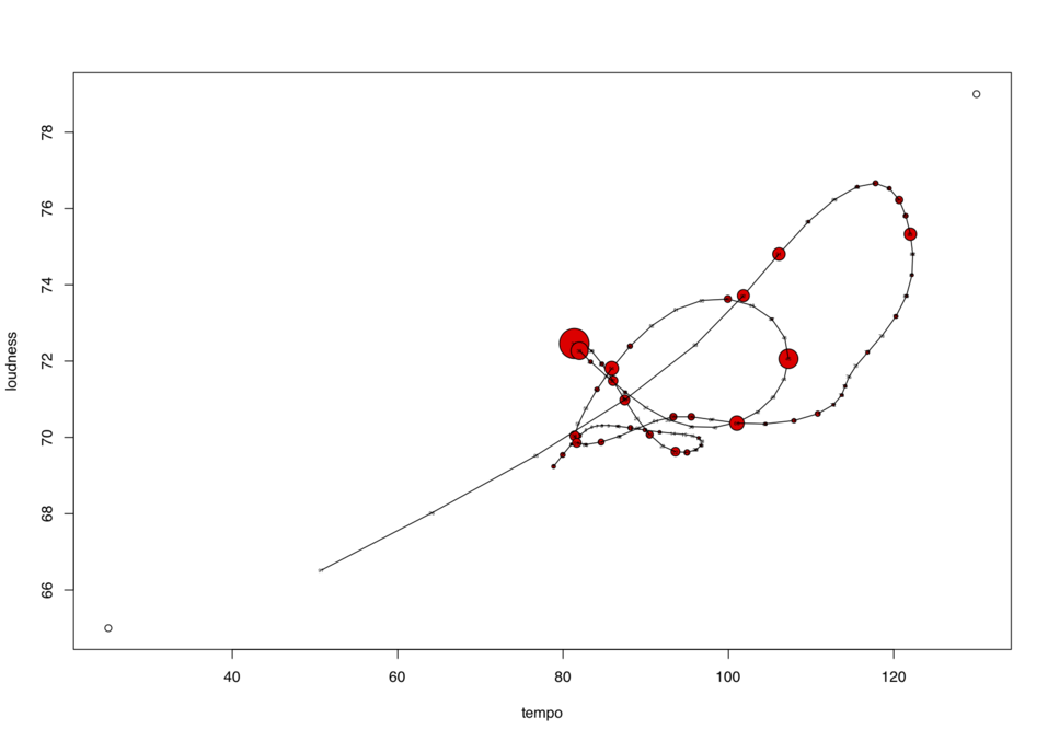
The above-used diagrams, while representing all the exact numbers for tempo modifications and variations arpeggio-length, don't show anything that intuitively might be useful for a performer. For visualising dislocation and arpeggiation I want to propose here using the so-called performance worm, introduced by Goebl et al.
(The smoothing factor was chosen to be 0.5). Looking at the large final gesture first, we see that amount and quality of arpeggiation are constantly increasing and thus are keeping up tension and intensity and thus reinforce agogics and dynamics. In bar 8 we see the case of a very big arpeggiation which initiates a turn in dynamics as well as tempo. It has been suggested that the registral contour also contributes this intensity curve1 and that registral extrema as well as gradual registral changes are being expressed through arpeggiation.2
Performance Worm
Other than the straight-forward diagrams of above, the performance worm shows very clearly the turning-points in both, dynamics and agogics. It further gives a very clear idea of the "course" of intensity. The worm can easily be identified with gestures following each other. These gestures are possible to feel while playing – specifically on the piano it feels natural to show the "gestures" with one hand while the other one in playing.
However, this form representation requires data smoothing before. Depending on level of smoothing, small gestures will seem more and more unified. Taking a very high level of smoothing, all the music will be represented as one big gesture.
I have chosen to display arpeggi and dislocations on these "gestures" as red circles, growing by the length of an arpeggio.
On the left hand side you see such a performance worm of the same performance of Chopin's Nocturne op. 15 No. 2 by Camille Saint-Saens.


