The structure of this system was inherited from another digital network that was previously used in a series of laptop solo improvisation, generally under the title of Else. This network was iteratively composed through a non standard synthesis approach that is useful to outline here, since the structure of the network itself is crucial for the emergence of many sonic features of CK91, and because some implications of its development are relevant for the discourse of this thesis. As a practical example, the development of the Zero Crossing frequency estimator will be described in detail in the next sections.
1.3.1 Abstraction - Approximation
In Else, my original aim was to explore the conditions for and the extent to which the gap between an algorithmic formulation and its computational actualisation could emerge as a perceptible quality of aural form. The strategy I adopted to explore this gap was to maintain the complexity of a specific process (i.e. the aesthetic qualities of a feedback network), while at the same time abstracting its algorithmic formulation. Here, the term abstraction is not used in its informatics meaning. Instead, it might be understood from a pictorial perspective: in the visual arts abstraction is a movement from figurative to non-figurative painting. Relating the term to the structure of a feedback system, an abstraction is a reformulation of a certain process in which the resulting formulation exists with a degree of independence from its initial reference. It is a form approximation in which the initial reference is substituted by a less identifiable version of itself. The language in which the digital network is implemented (SuperCollider) provides many high level DSP units (UGens) which are easily identifiable due to their specific functionalities - waveform generators, filters, compressors and so on. These high level units - or compounds of multiple units - can be replaced by an approximated replica by combining other more generic components that emulate the original behaviour. Through approximation, these functionalities get less specific and more prone to deviation. An example is the reformulation of a rudimental analysis unit - composed of a Zero Crossing and a SinOsc Ugen - that synchronises with the instantaneous frequency of an input signal. As shown in Appendix this unit can be reconstructed using a sign operator and a circular buffer. A change in the input signal from negative to positive will cause the segment between two successive zero crossings to be repeated until the next negative to positive jump. Through the removal of the SinOsc Ugen the process is made more abstract, meaning that its behaviour becomes less specific and identifiable (see Figure 1.6).
1.3.1 Deviation - Intention
This movements towards abstraction has a twofold effect. By reiterating this act of abstraction the original behaviour is gradually shaded, and the process becomes more open to deviations. As Figure 1.6 demonstrates, the ZeroCrossing Ugen could originally only output a sinusoidal signal. After its reformulation, the sinusoid becomes a possibility: sinusoidal segments can be observed in the waveform, but they are exceptions within a richer articulation. Nevertheless, the output maintains a general similarity with its initial reference. In particular, the frequency of the signal remains completely unaffected. Indeed, in the process of abstraction, a crucial step is deciding which characteristic are to be preserved and which others can be opened up for divergence. These are compositional decisions which depend upon the system’s dynamics, and that are often devised after empirical evaluation.
A second effect is that of shading the original intention that was embodied in the initial implementation. The more a process is abstracted, the more aesthetic results appear which were not contained in the former formulation. Moreover, these byproducts are ofter not inferable nor predictable from a direct analysis of the functioning of the process. This excess could be understood as the byproduct of the interplay between a compositional intention and its algorithmic formulation. The genuine novelty which is produced needs to be understood from an inclusive perspective and often requires a movement of adaptation in the composer who, in the next algorithmic interaction, needs to react in order to balance his aesthetic intentions and desires with the mechanics of the system he is developing. In composing a feedback system through a non standard approach, the articulation and stratification in time of the little adjustments, suspensions, collisions and divergences between myself and the system, punctuated by the desires (old and new) that emerge out of these interactions, is what shapes the overall artistic work.
In frequency modulation synthesis A, B, C and D are usually called modulation indexes and their value determines the amount of modulation that is applied to the signal. As described in the previous section, these indexes are dependent on the analysis performed by the first network. In particular, they are in an inverse relation with each other: modulation indexes increase when the output is soft, and decrease when this is louder or more noisy.
Other major components of the network are an adaptive comb filter, a zero crossing frequency estimator and a square wave generator. All these elements are organised in a feedback loop whose recirculating signals are reorganised through a 8x4 feedback matrix. This matrix is responsible for combining different sources and rescaling the amount of signal that is fed back to the process in the successive iteration. A simplified representation of the network is in Figure 1.5.
1.2 Acoustic Network
The acoustic network consists of a common audio feedback loop comprising (2) microphones and (2 or more) loudspeakers. The Larsen effect happens when given sufficient amplification the sound captured from a microphone connected to a speaker is reproduced and again captured, recursively, resulting in a positive feedback that produces pitched tones from the iterated amplification of a signal (Boner, 1966). When speakers are at fixed positions, moving a microphone will result in a modulation of the perceived pitch.
The microphones used in the performance consist of AKG CK91 small condenser capsules mounted on AKG SE300 B microphone pre-amplifiers. This specific model was chosen both for its cardioid polar pattern and its modular structure (during the piece, sometimes pre-amplifiers are used without their capsules). The work was originally sketched out using a pair of Klipsch KP-301 3 way speakers, but in different occasions was performed with other systems. The ideal spatial arrangement is with the two loudspeakers placed quite close to each other, facing the same direction, as illustrated in Figure 1.2
1.2.1 Tuning and Self Balancing
Frequency shifting tunes the acoustic network to the desired frequency range. This was preferred over pitch shifting for its metallic, inharmonic character that radically alters the sonic qualities of the signal, as well as to limit aliasing by compressing the spectrum in a more contained frequency range. The network is tuned between 13 and 15 kHz, in order to accentuate the directionality of the Larsen tones. In the time domain, the shift is achieved through single-sideband complex modulation. As described in (Wardle, 1998), the positive and negative frequencies of the input can be isolated from each other by calculating the Hilbert Transform (designed as FIR filters) of the signal. When applying ring modulation to the transformed signal, the frequency shifter is equivalent to a single-sideband modulator. The signal is then routed to an automated gain controller which is in inverse relation to the input amplitude. Therefore, as the input gets louder, the shifted signal is scaled down to avoid clipping. When there is little input, the feedback gain is larger to make way to Larsen tones and other byproducts; as Larsen tones and other sound materials get louder, however, the gain decreases enough to preventing too strong howling distorted sounds (Di Scipio, 2006). When a correct balance is found, the process gives way to the emergence of Larsen tones, keeps them at a rather constant amplitude, and eventually lets them fade out at a rate that is dependent on the desired ramp time (see Figure 1.3).
1.3 Digital Network
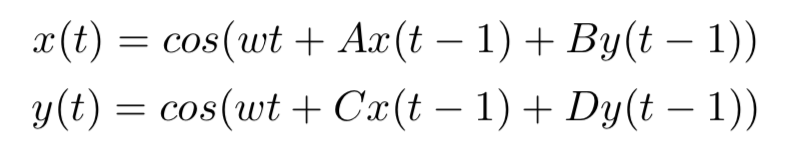
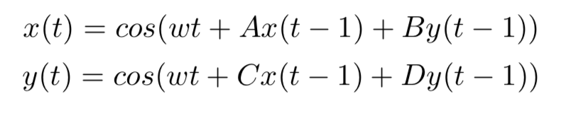
The core of the single sample feedback network consists of two oscillators that cross-modulate each other. At each new sample the phase of the two oscillators is computed by adding the actual phase of each oscillator to the one sample old output of the two oscillators, as follows:
1.2.2 Self Analysis
Simple analysis methods are also implemented that allow to estimate some features of the sounds produced by the network. An example is an efficient algorithm for the time-domain estimation of the spectral tendency that works by using a crossover to divide the input spectrum into two parts whose energy is measured through the RMS. The imbalance between the two spectra is what creates a negative feedback loop by shifting the cutoff of the crossover towards the predominant side. As a result, the system will gradually oscillate around the point of equal energy providing a rather accurate estimation of the spectral tendency. As proposed by Dario Sanfilippo (Sanfilippo, 2018), this algorithm can be extended by inserting a low pass filter on top of the chain, whose cutoff frequency is also piloted by the spectral imbalance (see Figure 1.4). This provokes a recursive process of spectral attenuation that ends when no components are left on the lower side of the spectrum. If we apply the same process to the upper side of the spectrum we can determine the bandwidth of the signal. By combining this information with the previously derived value of the point of equal energy it is possible to roughly estimate the flatness of the signal. The network running on the block size one server receives these values in the form of audio signals and adapts its behaviour accordingly for example, the flatness is coupled inversely with the modulation index of a recursive frequency modulation process, keeping the system in a state of dynamical equilibrium between noise and tone.
CK91
CK91 is a live electronics performance for two microphones, laptop and two or more loudspeakers where the performer acts on the physical configuration of the system in order to alter its internal dynamics, therefore catalysing the emergence of different sonic forms. The system is composed of two interdependent feedback networks: an acoustic one is formed by the coupling of microphones to loudspeakers, and the environment in which the performance takes place. The second one is a digital feedback network, consisting of recursive signal processing functions that both generate and modify audio. The component which is central in the coupling of the two networks, converting signals from the analog to the digital domain and viceversa, is the audio interface. The two networks are coupled, meaning that digital transformations integrate microphones signals as part of their signal flow (the digital network is open to the environment); they have different sensitivities to these inputs and their internal processes are dependent on the sounds which are picked up by the microphones. The result of these transformations is eventually sent to the loudspeakers, bringing about the Larsen effect and thereby creating the conditions for circular causality. The causes are fed back to themselves through their effects, and the effects are the result of their combination with the causes, thus breaking the input–output linear proportion.
The interrelation of these sub systems creates an aural phase space which is always different, depending on the environment, on the spatial configuration of its physical elements and on the choice of its components (different kinds of microphones or loudspeakers affect the resulting sound quality). This phase space is considered as a territory that the performer navigates by executing various actions in the performance space. Different behaviours are achieved by exploring the room resonances, different angles and distances of the microphones from the loudspeakers, and low-level sonic interactions. The performance is articulated in three parts, each exploring different equilibria between the digital, the analog and the acoustic components.
1.1 DSP Structure
The basic structure of the work consists of two interrelated DSP networks that interface with the environment through microphones and loudspeakers. One is specifically composed to treat the audio feedback loop between microphones and loudspeakers, articulating Larsen tones and regulating their amplitude and spectral content through negative feedback dynamics. The main features of this network are described in Section 1.2.1. This first network is also responsible for generating control values (mainly through a rough analysis of its DSP chain) that reshape the internal dynamics of a second network, which synthesises sounds through non-standard digital feedback techniques. This reshaping process happens by altering the topology of the feedback network through a variation of the amplitude of the recirculating signals and changing the relations between the components by modifying their parameters. This network is discussed in Section 1.3. Since the second network works at the smallest delay possible - when the control period is equal to one sample - the two networks run on two different SuperCollider servers to avoid CPU load. The first one executes on a server having a control period of sixty four samples, while the second runs on another server with block size one. The two exchange audio through a shared Jack server, as illustrated in the figure below.
References
Boner, C. P. (1966). “Behaviour of Sound System Response Immediately Below Feedback”. In: Journal of the Audio Engineering Society 14.3, pp. 200–203.
Di Scipio, A. (2001). “Using PD for Live Interactions in Sound: An Exploratory Ap- proach”. In: Proceedings of the 4th International Linux Audio Confer- ence. Karlsruhe, Germany.
Sanfilippo, D. (2018). Brief remarks on an algorithm for the estimation of the lowest partial of a signal. https://dariosanfilippo.tumblr.com/post/ 170283073356/brief-remarks-on-an-algorithm-for-the-estimation. Accessed: 29 05 2019.
Wardle, S. (1998). “A Hilbert-Transformer Frequency Shifter for Audio”. In:First Workshop on Digital Audio Effects DAFx.







