Part of Wissen im Selbstversuch / Knowledge through Self-Experimentation, an artistic research project at the Bern University of Art (PI: Yeboaa Ofosu; 2009–10)
1. Introduction
‘Taste’ has become a troubled concept in the context of art. Following the breakdown of a universal notion of ‘subjectivity’, ‘taste’ today stands in for the merely subjective – that is, for judgements that are personal or private and thus inconsequential to others. As a result, the artistic community has been looking for alternative ways of making or judging art, which are independent of ‘taste’. The most important concept in this context is ‘automation’, which is the production of objects or processes without human – that is, wilful – interference.
The self-experiment Automatic Brain uses data from an EEG scan in an attempt to bypass the interference of taste by directly reading localised activity of the artist’s brain, making ‘judgement’ unnecessary while still offering a means to differentiate between experiences. The purpose of the self-experiment is twofold:
- Automatic Brain is designed to create a taxonomy for the evaluation of brain activity, which can be used to make distinctions in the world of images.
- On the basis of such taxonomy, Automatic Brain can describe ways of making sculptures that are made automatically by and in the brain as it is exposed to particular types of visual input (virtual sculptures).
The role of the artist or self-experimenter is crucial for both dimensions, as both utilise a particular artistic practice that is sharpened and developed during the experiment. This is the case, in particular, because the second dimension sets out to automate the production of works of art based on the artist’s own automatic thinking responses, which are worked and re-worked into the conceptual set-up of Automatic Brain. Other brains will produce instructions for different sculptures.
2. Experiment
A set of one hundred images from the history of art were randomly selected from a collection of thirty thousand works. (Click here for a complete list of the one hundred works of art.)
A video (figure 1) was created that shows each image for sixteen seconds followed by a neutral image that is displayed also for sixteen seconds.
Brain activity was measured using a seventy-four-channel Nihon Kohden EEG system. The data was transformed into a three-dimensional matrix using the sLORETA algorithm. The Alpha 1 channel was used to analyse the data.
The EEG data was interpreted spatially as well as temporally, resulting in eight volumes of data per image (6239 active voxels in two-second intervals for each volume).
The average of the eight volumes of data from one image was compared with the average of data from all images in order to identify activity that was significant for that particular image.
The statistical analysis resulted in one three-dimensional data set per image, from which the 351 voxels with the highest values were retained for further analysis.
These voxels were clustered in three passes. Each pass reduced the amount of voxels to a third by creating new voxels representing the centre of a triplet of voxels, which were discarded. The EEG data for each image was thus finally represented by a set of thirteen points in 3D space.
For each image, starting with the voxel with the highest value, lines were drawn between the thirteen points following a set of rules:
- Connect a point to the three nearest points
- Memorise the order in which the points are connected
- Move to the next point and repeat step 1 without drawing a line twice
- If all points in the memory are used, the drawing is finished
In exceptional cases, these rules produce drawings that do not use all thirteen original points due to high local activity (dense partial point cloud).
Triangular surfaces were drawn between these lines to create an enclosed shape with the tightest possible fit (minimal volume of the resulting shape).
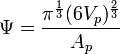
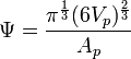
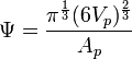
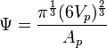
The volume, the overall surface, and the sphericity were calculated for each shape (see the Inventory for the values for each image).
Sphericity is a measure of how spherical (round) an object is. This formula was used:
If an image is positioned to the left of the graph, its surface is minimal, which represents local brain activity; if the image is positioned to right, the activity is seen to be global.
If an image is positioned to the top of the graph, its sphericity is larger – that is, it is more compact (‘rounder’) in shape. If the image is positioned toward the bottom, its overall shape is flatter and/or its surface more complex.
The denser cloud to the left of the graph indicates that most images result in activity that is more local.
Images that have a large surface but a low sphericity usually consist of a limited number of centres of activity (max three) connected in space (the resulting drawings are often L-shaped; see figure 6, left).
For each image, the resulting drawing can be seen in 3D in the Inventory.
4. Output
Figure 8 is a map of the final output of the experiment. On the basis of figure 4, figure 8 shows the spatial distribution of the input images.
Relationships between images are suggested through proximity.
5. Conclusion
The image mapping process that was used during the self-experiment produced a highly personal taxonomy based on an artistic analysis of brain activity.
The taxonomy is a speculative instrument for the understanding of personal artistic understanding. From it, a visual study can commence that asks questions such as, Why is it that these images are next to one another? What differentiates particular images, or what makes them the same?
Particularly interesting are combinations such as in figure 9, located in the lower right area of the taxonomy, which indicates global activity with local centres as opposed to a widely distributed activity.
The taxonomy is not universally valid, although the process of analysis could be used on subjects other than me and the output could be compared. This would be the work of a scientist.
From an artist’s perspective, other than feared, the taxonomy did not produce any formal criteria for the organisation of works of art. Figurative and abstract works, for example, seem to be evenly distributed, and so are colour and black-and-white images.
This does not, however, answer the question whether there are non-formal relationships (relationships of quality).
Second, the constructive rules have become ‘embodied’ in the imagination; that is, although not actually possible, can an imagined shape be drawn for any image that is perceived? The imagined shape corresponds to a state of the brain that allows each image to be thought of as a shape.
Conversely, any given shape can be seen as a representation of another yet unseen image – the speculation (in the senses) of what an unseen image might have looked like when one is confronted with a given shape is highly interesting.
Overall, the project tells of the complexity of the brain, which finds its correlate in the (visual) complexity of the shapes: we get the sense that, were we able to comprehend how a shape visually works, we might get a template of how to think about the function of the brain – a visual rather than simplifying container for complex structures.
Proto-Objects: 2009 Automatic Brain












