Integrated Narrative, Storyworld and Topical Analysis
In order to bring these various narrative analyses of the work together, in Table 2, I combine a written account of the work’s underlying narrative structure with its topical design and storyworld components, with the aim of elucidating the connections between them. After Almén (2008), I divide the narrative into eight isotopies: major structural groupings within the (musical) plotline.1 My intention here is to illuminate the many means by which I conceived of the work as a multimedial adaptation of Pearl’s original poetic narrative, not only through literally setting some of its lines, but in a much wider sense, to reflect my interpretation of its multifaceted richness (its imagery, its mellifluousness, its strangeness, and so on, not least in Armitage’s limpid, glowing translation) in both the vocal and orchestral writing.
|
Isotopy |
Bars |
Narrative Components and Trajectory |
|
|
1. Jeweller recalls and mourns his Pearl in the Garden of Herbs |
1-167 |
Storyworld Components |
The Jeweller (existent), is introduced in the Garden of Herbs, the ‘spot’ where he lost his Pearl (setting), first recounting her radiant beauty, then grieving her loss (narrative events). Unable to overcome his ‘wretched desire’ (mental events), his overwhelming grief attempts to transgress the norms of his wakeful existence (physical laws) and religious doctrine (social rules and values). He longs to, but cannot be, reunited with her. |
|
Topical and Motivic Components |
|
||
|
Musical and Narrative Structural Trajectory |
Diatonic modal clusters in the mid-register facilitate the free flowing, ornamented topical melodic style of the opening. However, a sense of unease is soon implied by occasional clusters in the bass which subtly undermine the resonance of the otherwise diatonic-modal harmonies above. As the mournful aspect of the text grows clearer, this effect becomes more pronounced, in tandem with the emerging lament-topical tropes, which results in an accumulating harmonic tension and growing affective unease (in the bass ‘outbursts’ e.g. bb. 63, 84, 92 etc). |
||
|
2. Chorus comments on his sorrow as the Jeweller sinks into heavy sleep |
168-209 |
Storyworld Components |
The Jeweller (existent) remains in the ‘same spot’ (setting) but the focus shifts to a more reflective plain with the chorus and orchestra ‘commenting’ on Pearl’s death as he falls asleep (narrative and mental events), preparing his arrival in the dream-realm (change of setting). |
|
Topical and Motivic Components |
|
||
|
Musical-Narrative Trajectory |
While little plot action occurs in this isotopy, the musical depictions of grief and subsequent dissolution of this material into a large-scale descent add dimensions of depth to the Jeweller’s inner psychological experience. Following the music’s departure from the medieval garden/early music topic, via the sinking topic, the ensuing clusters in the low register reinforce the function of the bass as a source of unease and prepare the way for the further accumulation of harmonic tension in the following two isotopies. Timbrally, the entire passage slowly introduces a larger orchestral palette, including more woodwind and tuned percussion, further implying a transition away from the ‘Garden of Herbs’ into a new dream-realm. |
||
|
3. Jeweller’s spirit embarks on dream-quest to marvel and amazement |
210-313 |
Storyworld Components |
The Jeweller’s spirit (existent) awakens to a new gleaming dreamscape, ‘overwhelming’ in its ornament and his dream-quest now begins. As he journeys through the landscape, he focuses less on his grief and is overcome with awe and excitement (mental events). A new order of reality (or unreality) seems to prevail for the Jeweller, now unconstrained by the physical laws of his earthly existence. |
|
Topical and Motivic Components |
|
||
|
Musical and Narrative Structural Trajectory |
A change of musical language occurs, defined by the introduction of the above new topics and textures, including a new harmonic vocabulary and timbral palette:
|
||
|
4. A more marvellous matter: beyond the beautiful water |
314-436 |
Storyworld Components |
The Jeweller remains present but now, with surreal excitement, glimpses Pearl (existents) from afar (on a gleaming crystal cliff across the water), no longer a child, but ‘a young woman of grace’ (events and setting). His emotions and sense of expectation are almost overwhelming. |
|
Topical and Motivic Components |
|
||
|
Musical and Narrative Structural Trajectory |
The harmony is now reconfigured to facilitate much shimmering above/around the baritone (and instrumental bass melody) as the Jeweller excitedly narrates what he sees, in somewhat breathless recitativo phrases. Tension continuously accumulates with much activity also occurring in the bass register, until reaching its goal of C-D whole tone cluster coinciding with the point of ‘maximal shimmer’ (bb. 425-435). However, this is not a climax as such – the structural line continues to ascend beyond this into the next isotopy. |
||
|
5. Pearl, and the heavenly chorus, speak without sentiment |
437-506 |
Storyworld Components |
Pearl speaks first alone and then in harmony with the ‘heavenly chorus’ (existents and setting), persuading him that he should not mourn: she now lives in joy in paradise, where her new existence is joyful in nature (physical laws, mental events). |
|
Topical and Motivic Components |
|
||
|
Musical and Narrative Structural Trajectory |
The new harmonic resonance of the heavenly joy topic results in a dissipation of tension on a structural level. However, some tension remains: the (12-note) chord on a low C and G in bar 504 still arguably produces much inharmonicity (due to the false relations in its upper register), requiring final resolution in the remaining isotopies. |
||
|
6. Jeweller’s vain attempt to cross the current |
507-537 |
Storyworld Components |
Overcome with delight (mental events), the Jeweller excitedly attempts to ford the river separating him from Pearl. As he does so, he finds his path blocked (physical laws, narrative events), to his frustration. |
|
Topical and Motivic Components |
|
||
|
Musical and Narrative Structural Trajectory |
This isotopy begins the final long-range, structural descent in the bass in parallel twelfths, from E and B down to D and A. The Jeweller’s attempt to cross leads to a temporarily tense bass cluster around the D and A. However, this eventually clears to reveal the prominent C-sharp of the cor anglais solo in the treble, which functions as a voice-leading link to the following isotopy and ensuing large-level harmonic resolution, on C and G in the bass, at the reprise of the opening breathing chords. |
||
|
7. Chorus reflects on faith and the afterlife |
538-567 |
Storyworld Components |
The Jeweller realises his vain attempt to cross was against God’s wishes (physical laws, existent, narrative events) and the chorus reflects on the eternal solace, love and support offered by God (mental events). |
|
Topical and Motivic Components |
|
||
|
Musical and Narrative Structural Trajectory |
As the final ascending phrase of the chorale arrives on the respaced ‘tonic’ chord from the opening (cf. b. 2 and b. 562), a C# appears in the first sopranos, creating a voice-leading link with the C# that began the cor anglais solo (b. 532). This provides a voice-leading link with the following chord on the anticipated bass twelfth (C-G, b. 568), which will then ‘resolve’ further onto a reworking of the original ‘tonic’ chord above the C-G drone (b. 595). |
||
|
8. Jeweller reflects on his vision and newfound acceptance of grief |
568-612 |
Storyworld Components |
The Jeweller awakens to the Garden of Herbs (existents, setting, narrative events), but now with a changed perspective, unburdened and accepting of his grief (mental events). |
|
Topical and Motivic Components |
|
||
|
Musical and Narrative Structural Trajectory |
The newfound resonance generated by the C-G twelfth in the bass generates large scale resolution and closure. However, this is not fully achieved until the final structural descent in the upper voice: the chord above the C-G drone in bar 569 is a tone higher than at the opening (with G# at the top) until it finally descends in b.595 (to F#). |
||
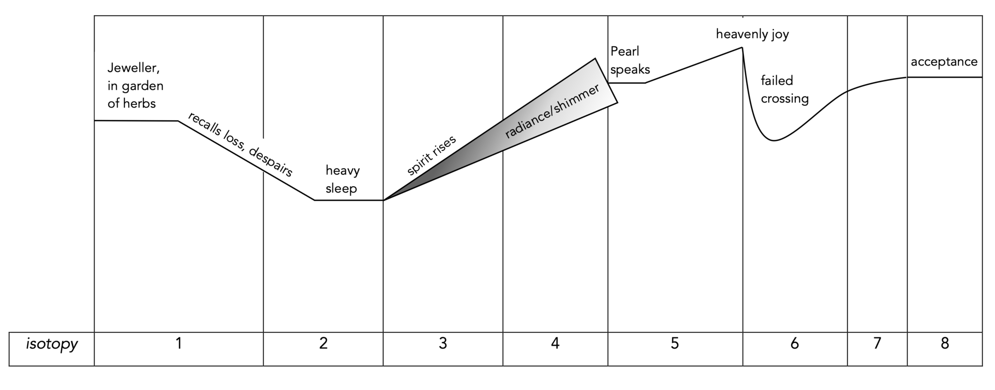
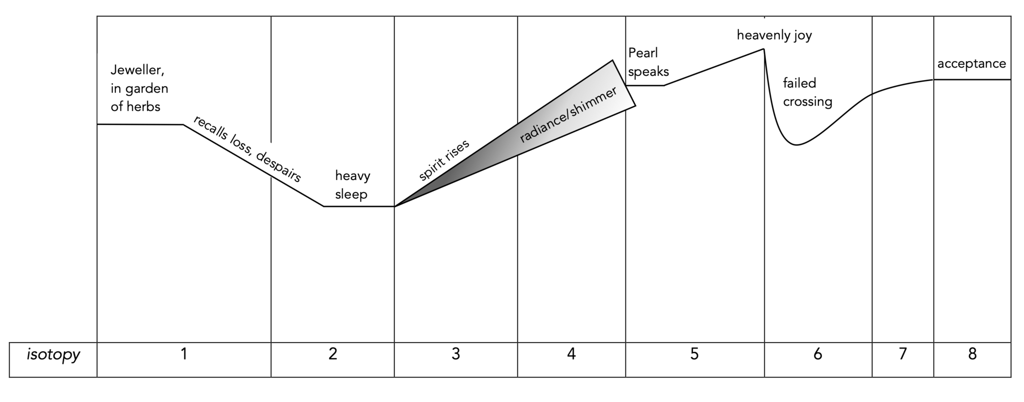
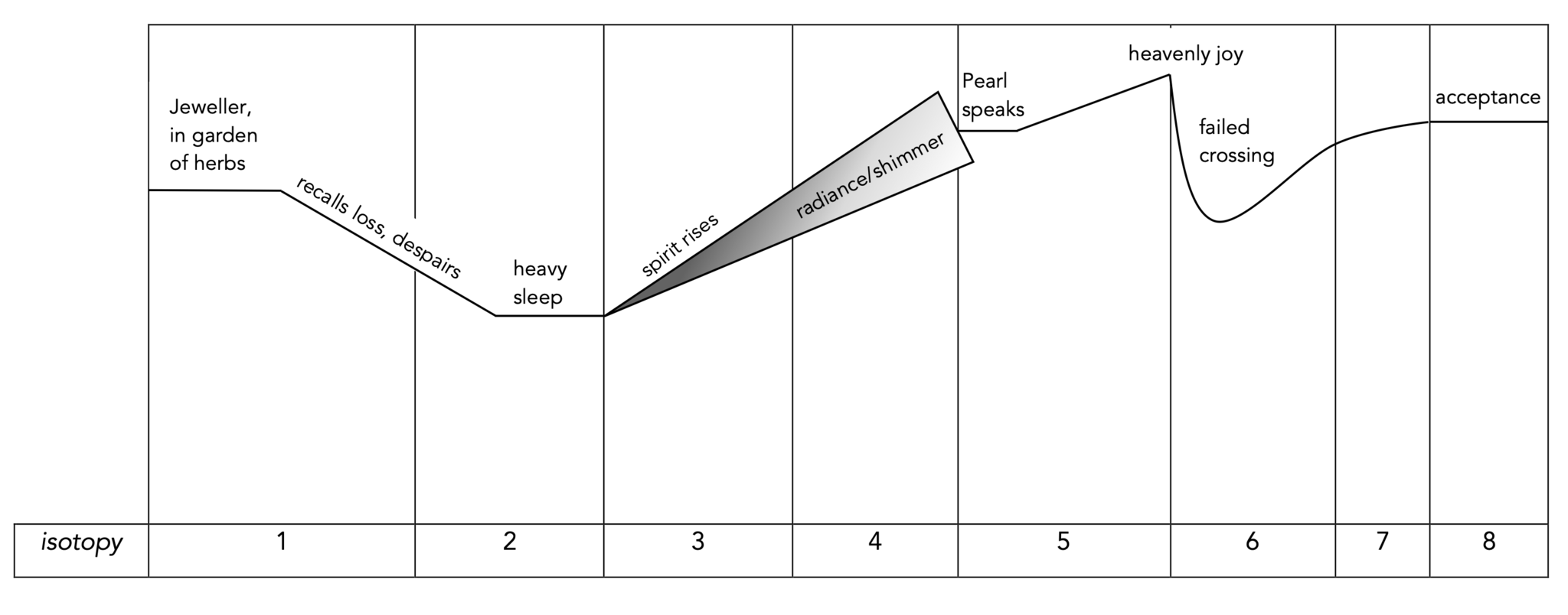
Lastly, in Figure 9, I summarize this entire narrative structure visually to clarify and convey its overall trajectory to highlight the integration of its main images at the larger level of form. Significantly, in contrast with the arc-like or triangular contour of most comparable graphs (usually based on Freytag’s (1876) famous ‘narrative pyramid’ characterized by ‘rising action’ approaching a climax) mine has perhaps a more distinctive trajectory (cf. Hoffman 2002: 116 and Scheuregger 2021: 304). Arguably this functions on multiple levels: in a more literal sense, it conveys my reading of the poem and the fall and rise in status (or rank, to use Almén’s term) of the Jeweller-protagonist as he sinks deeper into his grief, falls asleep and undergoes his dream-quest, leading to his radiant vision of Pearl and her joyous existence, his brief loss of rank in his failed attempt to cross the river, and final ascent to state of equanimity with his grief through his renewed faith. Yet in another, it depicts the harmonic underpinning of the work as depicted in Figure 8 and Table 2: the literal descent of the orchestra in isotopy 2; the ensuing climatic build-up; and the eventual attainment of harmonic equilibrium; thereby highlighting the close mirroring between the poetic and musical narrative in the work.
