Another famous researcher on the topic, whose work resembles Huizinga's due to its focus on the distinctive characteristics of games, is the French sociologist Roger Caillois. His work within the ludological framework is widely famous and perhaps one of the most quoted. It goes similarly to Huizinga since it starts by separating play into six fundamental characteristics:
- it is voluntary, free, not obligatory, therefore spontaneous;
- it exists apart from the regular activities of life, having its own distinct time and space;
- It involves uncertainty: outcomes cannot be predetermined, requiring players’ initiative;
- It is non-productive, generating no material wealth; it typically ends without economic gain;
- it is regulated by rules that temporarily suspend ordinary norms and behaviors, which players must adhere to;
- It involves imagined realities that may contrast with 'real life'.1
As can be seen, this characteristics are almost completely aligned with Huizinga’s one. It is clear that the qualities are pointed and defined, but it seems difficult to summarize the idea in a better way. However, from those Caillois goes on by stating 4 different corpus of games:
- “Agon”, or competition, involves the testing of a specific set of skills among players (such as strength, intelligence, or memory). The winner is determined by the mastery of these skills demonstrated during the game. For instance, a quiz game is a competition of intelligence, where the victor proves their intellectual superiority over other players, as seen in activities like chess.
- “Alea”, or chance, stands in contrast to Agon. Caillois characterizes Alea as "the resignation of will, an abandonment to destiny." Unlike Agon, which relies on player skills, Alea entrusts the determination of a victor to luck, with an external agent deciding the outcome. An example of Alea is playing a slot machine.
- “Mimesis”, or mimicry, also known as role-playing, is described by Caillois as when an individual plays to believe, or to make themselves or others believe that they are different from their usual selves. An illustration of this concept is engaging in an online role-playing game.
- “Ilinx”, labeled by Caillois as "voluptuous panic," involves altering perception through experiencing strong emotions such as panic, fear, or ecstasy. The intensity of these emotions corresponds to the level of excitement and enjoyment. Examples of Ilinx include activities like bungee jumping or Caillois's example of children spinning in a circle until they become dizzy.
The first three definitions sound particularly familiar and, in a sense, effectively manage to group a significant portion of existing games into just three sets. Moreover, competition, chance, and mimicry seem to be three characteristics sufficiently opposite and broad to encompass a good number of games, almost defining three distinct categories: sports, gambling, and role-playing. The fourth definition, however, is somewhat less effective and describes types of activities that remain on the fringes of the ludic horizon as traditionally described, not falling into some of the previous categories (such as extreme competitions that end up inducing the sense of panic described in the fourth category, which are based on the competition mentioned in the first point). Bungee jumping, for instance, is hardly imagined as a game, although once again, it remains challenging to determine precisely what it is beyond vague and indefinite terminologies. One could argue that that the solution may be found within the intersections of these groups. This is where bungee jumping, for instance, could find its place, along with other gambling games where the player's skill genuinely plays a significant role. Sports also always have a little part of randomness quote due to the weather or space conditions, as well as general influences from outside (The initial basketball thrown by the referee, a faulty racket, a trail path with obstacles, or a malfunctioning bike).
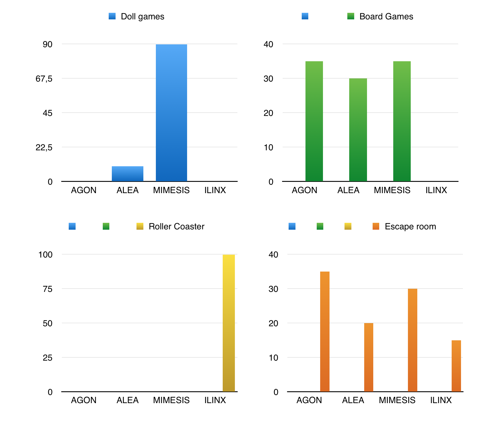
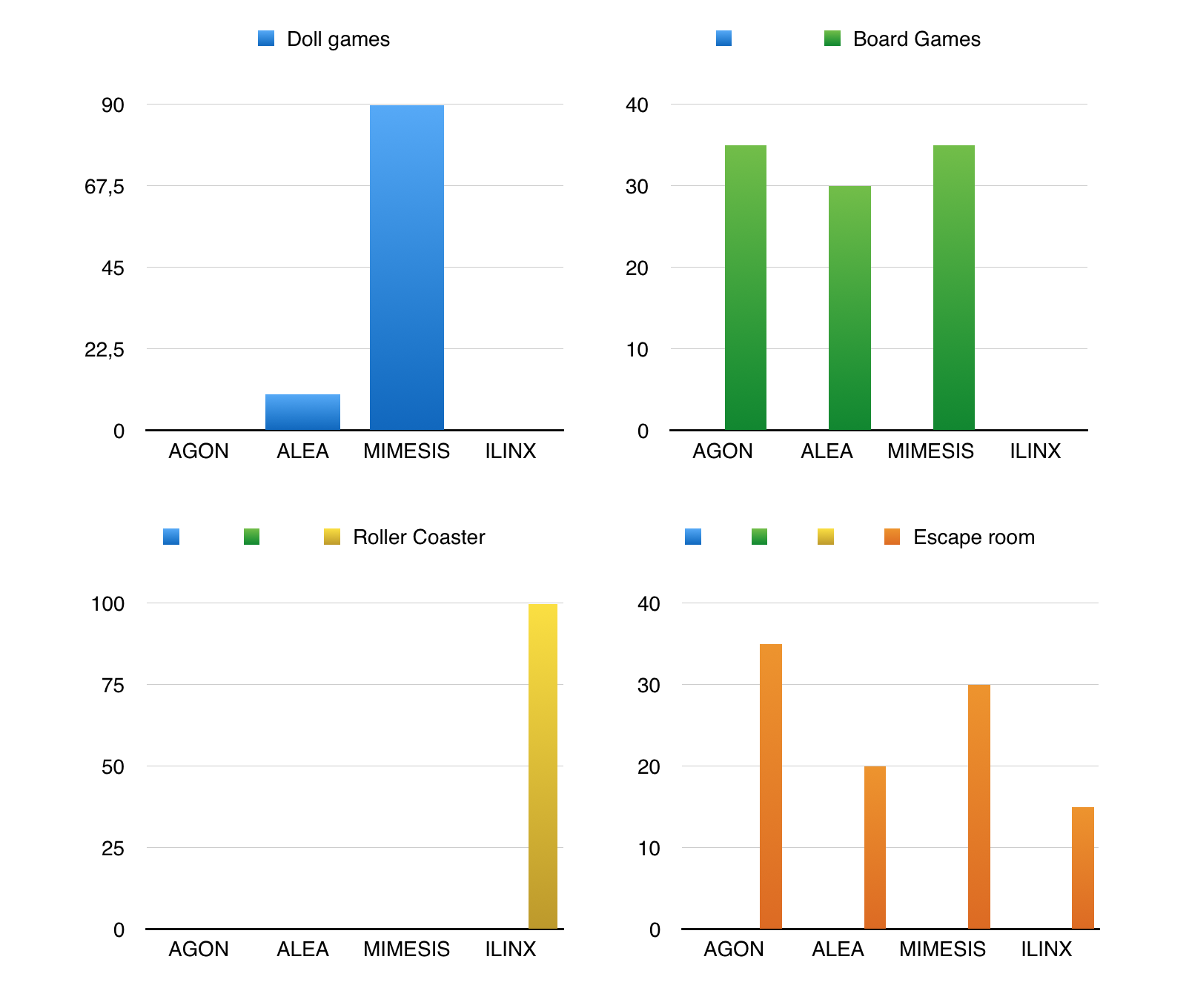
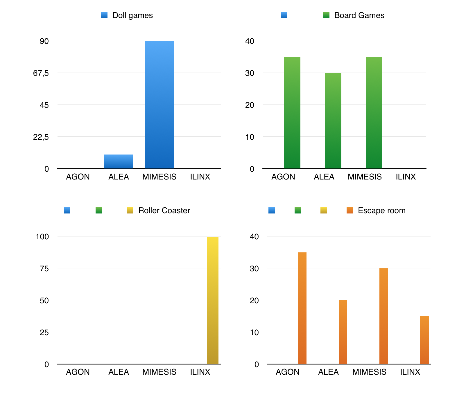
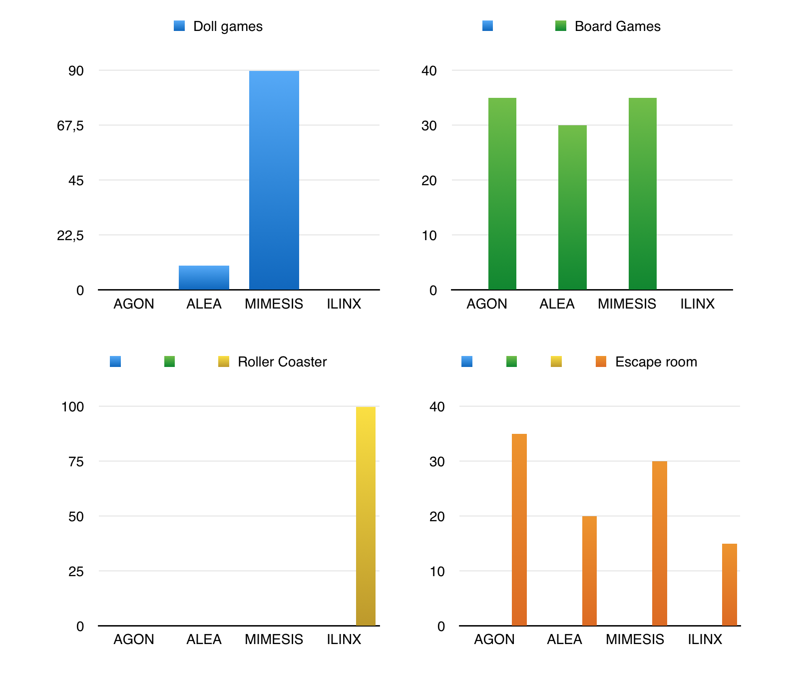
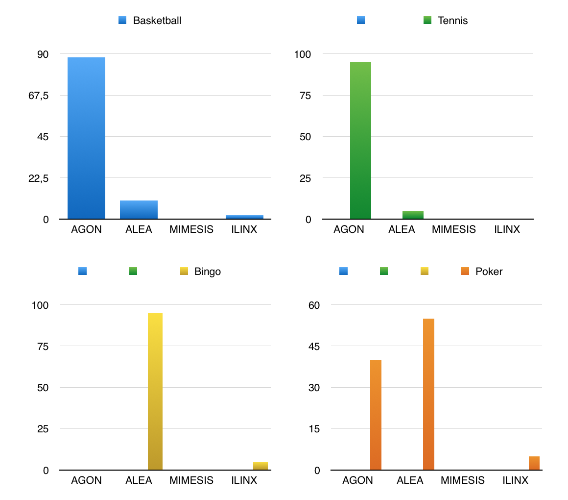
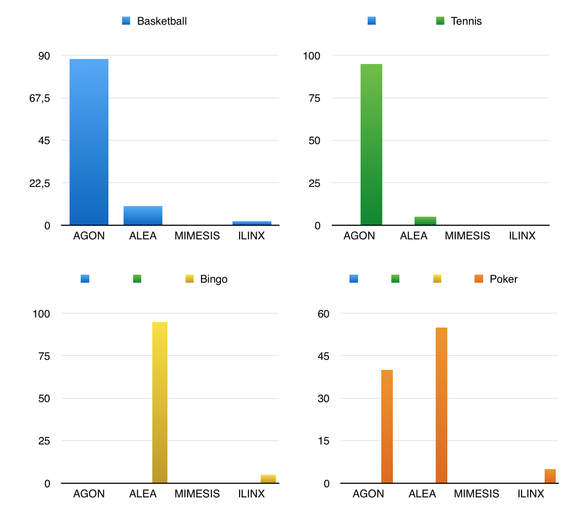
The previous diagram aims to summarize the classifications of certain well-known games within Caillois's four proposed categories, but it evidently exhibits some limitations. Primarily, there are no intersections between opposing categories— not in terms of quality, but purely in terms of schematic placement. For instance, “Ilinx" games seem to lack the potential for competitiveness, while "alea" games cannot interact within the realm of Mimesis. However, this could be easily addressed by adopting an alternative schema structure, albeit one that would still involve some approximations. How does the competitiveness of poker compare to other gambling games? Is bungee jumping genuinely as extreme and risky as other casual card games? What significance and role does the recognition of role-playing hold in team games?
A more fitting perspective on the situation might be provided through a thorough analysis of each type of game, considering the presence of properties (the Caillois categories) in each of them.
Analyzing these charts allows for a more thorough evaluation of the quantity of each category within each specific game type. Emphasizing these differences is essential because each distinct combination of Agon, Alea, Mimesis, and Ilinx corresponds to a varied approach and outcome in the ludic process. Consequently, these variations give rise to further differences in assessments and considerations.
Back to Caillois second subdivision, another interesting aspect emerges, which the author perfectly summarizes in a further dichotomy still used in many ludology books and research. Starting from these four distinctions, a clear polarization towards two attitudes governing play becomes evident. In sports - and more broadly in structured games - there is a clear demand for significant commitment in terms of skills, physicality, and overall prowess, celebrating human achievement towards a specific goal. These games have a dimension of quantitative absolutism, more easily assessable even by an inexperienced audience, and possess an almost objective scoring system. Whether it be goals, baskets, cards, or other metrics, this contributes to an objective framework that provides a tangible representation of success and progress within the game. It is a domain where the pursuit of excellence is evident, and the competitive nature is structured around well-defined rules and goals. On the other hand, some activities are way more difficult to assess and necessitate more qualitative terms of judgment, as well as a more freedom rule structure that lets the participant push themselves to enhance creativity and excitement related to the fantasy and imagination induced by the game. Elegance, beauty, fantasy, determination, and a whole different set of skills are part of this typology of games, which focuses its goals not on competition itself but on the particular approach to the rules to create diverse and astonishing practices and developments. A group of kids creating a make-believe scenario, perhaps pretending to be characters in an imaginary world, could be a good example of this. Other games emphasizing uncontrolled fantasy, spontaneous play, improvisation, and activities like these exemplify the free-flowing and creative nature inherent in certain games.
Caillois divide this two opposing approaches into Paidia and Ludus, two ancient greek and latin words that mean education or learning for the first and play, game or sport, training for the latter. For Caillois, Paidia involves uncontrolled fantasy, characterized by spontaneous play through improvisation. He even goes saying that the rules for Paidia are created during the actual playing time, which enhance its characteristic of unpredictability. Ludus, instead, demands effort, patience, skill, or ingenuity. The rules for Ludus are predetermined from the beginning, and the game is designed before the actual playing time.
“Play is a voluntary activity or occupation executed within certain fixed limits of time and place, according to rules freely accepted but absolutely binding having its aim in itself and accompanied by a feeling of tension, joy, and consciousness that it is different from ordinary life."2 I believe the aspect of willingness to join the game by the participant is fundamental, emphasizing the player's freedom to be involved or not. In this way, indeed, the game distinguishes itself profoundly from many of the activities mentioned initially in the introduction of the chapter, such as studying, working, and other types of obligations. Perhaps in this lies a central aspect of the nature of games, summarizing some of the typologies indicated by both authors.



