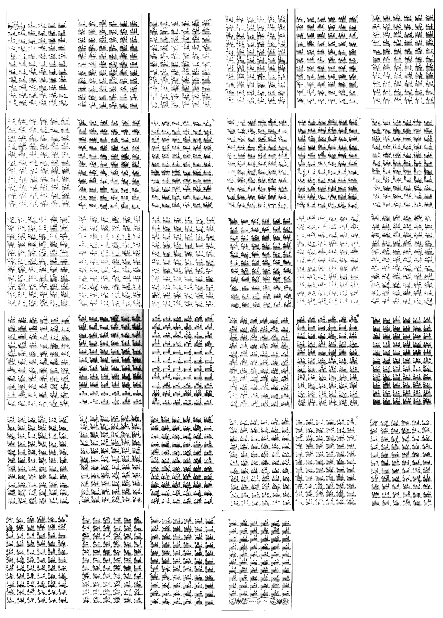
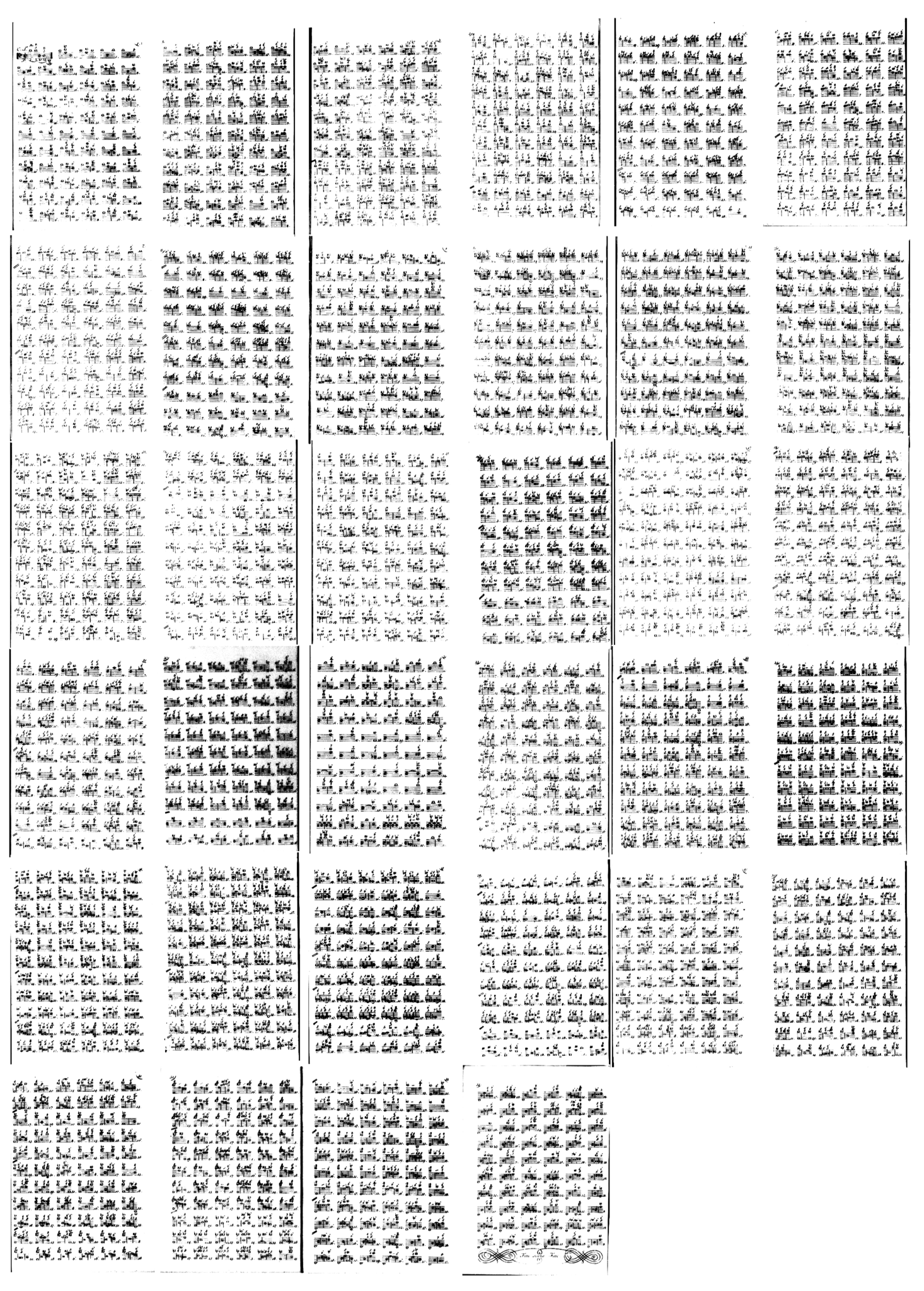
Francesco Geminiani's Guida Armonica or Dizionario Armonico (1752 ca.), contains 2.236 harmonic passages to be linked together.
The book does not specify which styles it is intended for -unlike the Arca Musurgica- leaving one to think the applications could have been various. An example of its application by Geminiani himself can be found on IMSLP. This supplement contains one single and short bass-line realized in 2,3,4 parts and with different ornamentations.
By clicking on the text, you can listen to a prelude I made with the book. I made sure to keep my realization as minimal as possible, with the least possible motion in the upper voices.
One fascinating way to test the combinatorial capabilities of machines could be to disassemble real repertoire and force its construction into a machine to see if -in theory- it could have been possible outputs of such machine.
As the book only provides harmonies, the privileged choice would be around harmony-based pieces such as arpeggiated preludes.
Because the book is only in D minor, we would assume either:
A) that the test piece is transposed
B) that the Guida Armonica matches the key of the test piece.
First test was J.C.F.Fischer prelude from the harpsichord suite "Clio".
Source (https://imslp.org/wiki/Musicalischer_Parnassus_(Fischer%2C_Johann_Caspar_Ferdinand)
The prelude fails to be compatible already from the third bar as the 7
4 harmony is not there.
Considering pedal points as a way for the composer to stack various chords on a fixed note to create complex harmonies, the book doesn't come close to exhausting all the possibilities, as:
A) it rarely lets you stay on the same note
B) the few harmony changes on the same note are quite basic and don't come close to the complexity of, say, non mesuré preludes.
Trying "The" prelude in C major from the first book of the Well-Tempered Clavier will end up with similarly fatal results.
Cheating on the instruction and starting on page 2 (Geminiani wants you to start from passage 1) will take you slightly further. Already at bar 6, however, only these six choices would be presented to us while waiting for a 4
2 after the ♭6
3 :
By playing around more, a second issue of the Guida Armonica might start to appear clear: that the book has a sort of "tonic-preferance bias" that tends to easily bring you back to D and preventing you to go harmonically too far -option that would have extended the size of the book dramatically. For a similar reason, far tonalities are not included.
"Geminiani's halting problem"
One more characteristic that makes the Guida Armonica not fully self-sufficient as an autonomous machine (apart the continuo realization mentioned before) is the risk of loops. If we used numbers to pick passages -instead of freely chosing each time by hand- it's clear how the whole system becomes susceptible to infinite loops. There might be a specific number (or sequence of numbers) that could make our bassline repeat forever before we found a resolution to end our piece.
Despite little effort is required to transform the Guida Armonica into a self-sufficient machine for generating music or harmony, all the above considerations seem to suggest that Guida Armonica was not intended to be so, unlike the Arca Musaritmica, which has been digitally copied and is available on online browser (https://www.arca1650.info/compose.html).
One of the main issues for digitally converting the Guida Armonica in a similarly user-friendly program would be the basso continuo notation as it would require an extra step of coding to be realized. This, assuming someone had the time to transcribe all 2.236 passages -or if a tool for OMR (Optical Music Recognition) was used.
On top of that, the MIDI protocol has wide capabilities in terms of envelopes assigned to the notes (that let users apply vibratos, pitch shifts, dynamics shifts etc., see CC) but does not have "basso continuo" parameters, meaning: MIDI notes aren't supposed to carry basso continuo information. An example: a score with continuo bass numbers might be saved on Musescore, Finale, etc. but saving the MIDI file would not keep useful, playable information about the basso continuo. There might be ways to overcome this issue but I never worked with MIDI on such a deep level to know the answer to that problem.



