The concept of contingency is commonly understood as the opposite of necessity, as that which is possible but not necessary. This opposition can be found in artistic practice in the conceptual pair of material and form. The triumph of the latter over the former, the turning of the fundamental unpredictability of being into reasonable order and the eradication of chance have long been ideals of artistic and technological "mastery". By contrast, musical practices have embraced contingency by means of material processes, aleatory procedures, notational ambiguities, sonification and improvisational performance. The series of works presented here deals with the border between necessity, or telos, and contingency. It seeks to experientially trace the contingent emergence of telos, form and tendency through a series of formats that draw the border of the system's inside and outside in different ways. Contingency is not understood as the selection from a set of possibilities but as a more traumatic event from outside of the finitude of given possibilities.
However, contingency cannot simply be exposed directly. The employed synchronization algorithms, which are themselves deterministic, allow for a coupling of processes and thus for the formation of order. Hence, synchronization acts as a form of interface that is sensitive to contingent outside disturbance, interference or noise which it transforms into its own morphogenetic dynamics. We thus experience contingency through deterministic synchronization while the latter is dependent on a contingent exterior. The different instances of this work renegotiate the interior and exterior of the work and in doing so, they expose different forms of contingency, both internal and external, both perceptual and ontological. The online installation presented here includes the listeners' microphones and the network delays as sources of disturbance, while the installation shown in Ghent does so with different acoustic locations in a single space. The visualization and the different audible renderings of Kuramoto networks have no outside, but different pseudo-random initial conditions. They raise the question of the possibility of a purely algorithmic contingency.
We do not seek to formulate a single coherent concept of contingency but rather search for the unpredictable potential of the work itself by redrawing its limits and contexts. The work is not merely influenced by the contingency of the material, which would constitute a translation into pre-established aesthetic forms, but we rather seek a closure of the material that allows us to follow its autonomous unfolding. The philosopher Reza Negarestani has termed this approach a "complicity" with the material as a way of embracing contingency in artistic practice:
Complicity reformulates the rigorous closure of the work as a narrative plot where contingent events unfold, where unpredictable twists take shape and where the work becomes the subject of experimentation of its own materials.1
However, as Negarestani writes, being "open to contingency" without "domesticating" it is no simple task, "because our openness and consequently our modes of interaction are determined by our capacities." While each instance of this work creates a different way of being open to the outside, we really seek to let the work be opened by the inner contingency of its materials.
{kind: paragraph, function: contextual, persons: [DP, LD], keywords: [contingency, synchronization, necessity, materiality, material, form]}
Iteration 2: Ghent Installation
The second iteration was a sound installation shown in Ghent in March 2019 as part of the Simulation and Computer Experimentation in Music and Sound Art Seminar.
The installation uses six Hopf oscillators which are used to generate frequencies for six band-limited impulse generators that are each played back over one loudspeaker in the room. The input for each Hopf oscillator is the signal recorded by a loudspeaker in the same room, thereby creating spatially disitrbuted pairs of input and output that interfere with each other. The installation consists of six loudspeaker-microphone couples that, in an endless process of synchronization, leave traces of sound forms over time.
The model of connecting oscillators can be experienced spatially by moving through the room. It is turned inside out and in doing so connects to the specificities of the site, its acoustics, the noises made by the audience etc. The materiality of the site becomes a source of contingency while the synchronization algorithms constantly interfere with each other and thus act as a form of drive whose failure gives rise to audible forms.
{kind: paragraph, function: description, artwork: contingency and synchronization IT2, place: orpheus institute, event: Simulation, keywords: [hopf, oscillator, oscillation, phase, audification, pattern, site, space, acoustics, audience, sound installation, loudspeaker, microphone, interference, form, materiality, contingency, algorithm]}
Introduction
Contingency and Synchronization is a series of artistic research works by Luc Döbereiner and David Pirrò, exploring the relation between deterministic synchronization algorithms and contingency. Each iteration in this series renegotiates this relation and attempts to connect computation, site and listening in ways specific to the material format (live performance, spatial installation, web-based installation, visualization, closed-off rendering).
We are interested in the emergence of sonic forms from the interaction of deterministic algorithms and the contingency of their material performance, which includes their connection to spaces, performers, listeners and machines. We use algorithms that have a strong internal telos in order to let the generative power of disturbances and deviations unfold.
The tools and setups we develop render internal and external contingency perceptible in certain intended ways, which can be said to limit the radical otherness of contingency. At the same time, it is only through this form of aesthetic transposition or translation that we can explore and expose the contigency of our material. The encounter of these two opposed tendencies creates singularities that constitute the works of this series.
This collaboration started during Luc's residency in the context of the ALMAT project, but has since developed further. The works we collect here take multiple forms. e,g textual, auditory, visual etc. and employ multiple perspectives: conceptual, reflective, scientific, technological, phenomenological, aesthetic etc. Each of these layers has its own autonomy but affects the other layers. These artefacts should help to trace the process we have followed.
{function: introduction, function: contextual, persons: [DP, LD], keywords: [_, transposition, translation, residency, autonomy, process, contingency, otherness, generative]}
Iterations
The project consists of a series of iterations. Each iteration aims to explore a different format and material constellation and thus performs a different interaction of contingency and synchronization as well as a different demarcation of what is inside and outside. Each iteration unfolds a similar network of synchronizing oscillators in a particular space. In the first iteration there is is no contingent "outside", while the second iteration creates an acoustic unfolding of the algorithmic model in a concrete space. The third web-based iteration connects the listeners' spaces and technical setups and creates a virtual spatial model, while the fourth iteration will involve one musical performer and two generative processes.
Working in this iterative manner allows us to trace and expose differences between the various formats and conditions that connect spaces, listeners, materials and algorithms in different ways. The role of contingency and synchronization and their relation to the "outside" is different in each of the iterations. The material explored in this project is not only revealed in each work but perhaps even more so in the differences between the iterations.
{kind: paragraph, function: method, persons: [DP, LD], keywords: [contingency, synchronization, iteration, experimentation, methodology, model, outside, inside]}
Open online installation
(Google Chrome only)
{kind: link, artwork: contingency and synchronization IT3, place: Online, keywords: [hopf, online installation, contingency, synchronization]}
Iteration 3: Online Installation
The third iteration of this project is an online installation made up of a meshwork of sixteen Hopf oscillators that process audio input from the listener's microphones. Each listener corresponds to one node in the meshwork. Depending on cross correlation values and network delays a model is calculated that reflects the temporal and sonic proximities of the different nodes. Each listener hears the three closest oscillators. These connections and the distances between the oscillators are also represented in the visualization. The system also operates without microphone input but listening "disturbes" the system leading changing connections and new visual and sonic forms. There is no passive listening, it always transforms what it listens to.
{kind: paragraph, function: description, artwork: contingency and synchronization IT3, place: Online, keywords: [hopf, oscillator, oscillation, mesh, phase, audification, visualization, pattern, space, acoustics, generative, microphone, online installation, listening]}
Online Installation Supercollider patch
{kind: link, artwork: contingency and synchronization IT3, place: Online, keywords: [hopf, online installation, git, SuperCollider]}
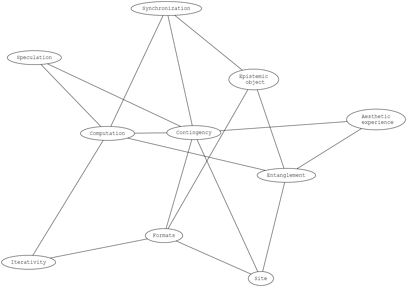
This series of works is entangled with a network of concepts whose interrelations are sketched in the diagram above.These concepts relate to reflections on the research process and its outcomes. Each vertice connecting two terms constitutes a perspective from which the project can be viewed and which highlights different tensions and aspects. The diagram thus not only articulates a certain knowledge but is itself productive in forming new conceptual and material connections.
Contingency is of central importance in this network since it connects the openness of the aesthetic experience, the material specificity of the site, the determinism of synchronization, the nature of computation and the idea of speculation which we understand as a methodological and as an aesthetic concept. Speculation is understood as a situated oscillation between experience and imagination transcending the current state of possibilities by means of active experimentation.
{kind: paragraph, kind: caption, persons: [DP, LD], keywords: [contingency, speculative, diagram, mesh, network, materiality, site, determinism, methodology, experimentation]}
Historically, the study of synchronization phenomena started with the work of Dutch researcher Christiaan Huygens who in 1665 observed how two clocks suspended from the same wooden beam, independently from the starting conditions and after some time, would consistently and precisely synchronize their ticking, locking their rhythms. Since then and in particular in the last century, synchronization has become a highly active field of mathematical, physical and technological research. The reason is that phenomena of synchronization (sometimes also termed entrainment or locking) are ubiquitous in nature on different temporal and spatial scales from very large (e.g. planets and satellites synchronize their orbits, like earth and the moon) to very small (atoms synchronizing their oscillations for instance in lasers) in biology (insects synchronizing to each other) or medicine (human heart and respiration pattern or synchronization phenomena between neurons). Formulating, modeling and understanding these phenomena has potentially a wide range of applications.
Technically, research on synchronization may be considered part of research on dynamical systems, in particular of the mathematical study of non-linear dynamics. In this context, a very general but simple definition of synchronization may be given by the adjustment of rhythms due to an interaction. In other words, synchronization is the study of temporal patterns emerging from the interaction between oscillating objects. The behaviors such synchronizing entities might produce are not limited (as in Huygens's case) to the convergence to a common regular rhythms: on the contrary, patterns might exhibit an enormous range of qualitatively different behaviors, which are in most cases chaotic. Due to the non-linearity of interactions, frequencies or phases, oscillators are shifted and varied in time following non-predictable trajectories.
{function: introduction, function: contextual, keywords: [synchronization, rhythm, entrainment, formulation, model, dynamical systems, interaction, patterns, oscillation]}
Our choice to use models of synchronization systems in the generative sound processes we have composed is based on two main observations:
An essential characteristic of these mathematical systems is that, in all cases, they model an active oscillatory process which is exposed to some disturbance. In some cases, the source of disturbance may also be modeled mathematically and thus be part of the system (as for instance in the Kuramto model), but in most cases it is some source that is "external" to the system. In a world, the world of the mathematical and physical study of dynamical systems, in which systems are always closed or autonomous, this inherent opening of synchronization systems, is very peculiar. We can say that synchronization is the study of oscillatory systems that are not just autonomous, but that are to some degree "open" to an external environment. All mathematical models of synchronization include terms which express how another, more or less known external signal enters into the oscillatory process, so-called "interaction terms". The form of this coupling, in physical words, of one system with some other is a necessary part of synchronization systems. In those systems there is a fundamental affordance towards being linked, interconnected, being integrated into a mesh into a larger system that is not entirely formulatable.
Nonetheless, we are entirely aware that those systems, in the way they are formulated, studied and interpreted, are fundamentally deterministic system: if a precise starting condition is given and the external signals can be formulated, their future states are completely determined. As such and as most deterministic systems, a synchronization system posses a strong telos, a direction that drives its behavior towards a very specific form or pattern (see the examples for the Kuramoto system). This behavior that is emergent from the interaction between all the parts of the system and that is relatively stable against disturbances. It may appear that this properties are in opposition to our focus on contingency. But on the contrary, we have found that this strong telos is an essential ingredient to our work. We purposefully stage a collision between determinism and the contingency of the world in order to make the latter sensible. In some way, we use the deterministic properties of our systems as a sort of "contrast medium" in order to materialize contingency. By composing the coupling of our systems, we seek sonic textures that maintain traces of their telos but allow external influences to continuously and effectively deform their behavior without turning into noise. In our works, we seek forms that are specific to the particular constellation of the model, its coupling to the environment, the setup and the computational model chosen: that is, we look for emergent behaviors that are singular, appearing as an interference or as a vortex between the flows of telos and contingency.
{kind: paragraph, keywords: [synchronization, systems, oscillation, generative, model, disturbance, inside, outside, closed, opening, autonomy, environment, interaction, coupling, mesh, system, deterministic, telos, determinism, form, pattern, parts, components, contingency, texture, sound, deformation, emergence, singularity, interface, vortex]}
Future Iteration: Work for 1 percussionist, 2 generative processes and 3 snares
The next iteration will be a composition to be performed in December 2020. The piece will involve three snares, one of which will be played by a percussionist. The other two snares will be played by one generative synchronizing process each using transducers attached to different parts of the snares. The three players will thus form a small network of connected oscillators linking algorithmic synchronization and human perception.
What is inside and what is outside of the work/system is again different from all previous iterations. A human is now part of the systems interior. This piece includes the performer's actions and decisions and the materiality of the acoustic instruments as open and contingent elements, while focussing less on the behavior of larger-scale networks.
{kind: paragraph, keywords: [contingency, synchronization, percussionist, snare, transducers, inside, outside, system, performer, materiality, instrument, network]}
Original drawing by Huygens depicting two clocks suspended on a wooden beam.
{kind: caption, keywords: [experiment, synchronization, clock, huygens]}
Kuramoto patterns
The following recordings are audifications of a simple Kuramoto system of six oscillators. In this case each oscillator is interacting with its nearest neighbors: the oscillators are organized circularly so that oscillator 6 interacts with oscillator 1. We have used pulses in order to audify phase differences. These are binaural renderings in which the pulse produced by each oscillator is played back from one loudspeaker position of the IEM CUBE.
This is for reference, the pulse produced by the oscillators without any disturbances.
Here we have started the oscillators with random initial phases. Complete synchronization occurs: all oscillators fall into the same phase.
In this case we have started the oscillators with random initial phases. Here, the oscillators find another stable behavior by equally distributing their phases. We hear a 6-times multiple of the reference beat.
{function: description, keywords: [synchronization, rhythm, entrainment, Kuramoto, patterns, oscillation, phase, audification]}
The Kuramoto model
The so-called Kuramoto model, named after physicist Yoshiki Kuramoto, is one of the most known and interesting mathematical models formulating synchronization phenomena. It is still one of the most used models, applied to the study of biological phenomena as for instance the emergence of circadian rhythms or in study of synchronization patterns in the human brain. The model as a very compact and clear formulation (see below). It formulates the behavior of a system of N coupled oscillators. Each i-th oscillator is in this case formulated in terms of the variation of its phase. The phase variation depends on a constant f, the frequency of the oscillator and one interaction term. That is, in the Kuramoto model, each oscillator interacts with all other oscillator in the system through the sine of their phase difference.
{kind: paragraph, function: definition, keywords: [Kuramoto, synchronization, oscillator, phase, model, formulation]}
Iteration 1b Kuramoto 2D Visualization
The video on the left is the visualization of a 2-dimensional grid of 192 times 192 kuramoto oscillators. Each oscillator interacts with its four nearest neighbors (left, right, up, down). The grey-scale values are mapped to the phase value of each oscillator. The oscillators are initialized with random phases.
In this case the synchronization behavior of the system instead of driving the oscillators into a steady rhythm develops into a emergent stable spatial pattern, so-called "Pinwheels".
{kind: paragraph, kind: caption, artwork: contingency and synchronization IT1b, keywords: [Kuramoto, oscillator, oscillation, phase, visualization, grid, pattern, pinwheels]}
Iteration 1: Kuramoto Visualization
The first iteration was a web app visualizing coupled one-dimensional Kuramoto oscillators. A number of parameters can be set, which are initialized using pseudo-random number generators:
- The number of oscillators, which are distributed horizontally.
- The number of iterations. Each horizontal line is one iteration starting from the top of the page.
- The minimum and maximum values for the initial phase offsets (in radians).
- The minum and maximum phase increments, i.e. the frequencies.
- The minimum and maximum coupling strength.
- The type of coupling (neighbors or total coupling among all oscillators).
{kind: paragraph, kind: caption, artwork: contingency and synchronization IT1, keywords: [Kuramoto, oscillator, oscillation, phase, visualization, iteration, pattern, pinwheels, experiment]}
{kind: artefact, artwork: contingency and synchronization IT1, keywords: [Kuramoto, oscillator, oscillation, phase, visualization, iteration, pattern, pinwheels, experiment]}
A comment on computation
We feel it is important at this point to underline an aspect of the relation between the computational artefacts, the code, the programs and algorithms we have developed and the mathematical models we have used. Throughout the process of this project, we have always considered these artefacts as autonomous in particular with respect to the mathematical formulations we use. Contrary to some widespread (explicit or implicit) narratives in which computer simulations are considered equivalent representations of what they model, we acknowledge that the process of transposition of an idea or a mathematical model into an computational artefact is no isomorphism. Not only is it an approximating, lossy process: in the process of adaptation, re-formulation and re-composition into a digital implementation, the encounter (or collision) with the specific qualities of this medium produces material entities that may develop behaviors that are contingent. Here, we can locate a specifically computational contigency that is not contained in the mathematical model. Of course, these artefacts are not completely disjoint from the mathematical models. In other words, we do not consider these computational artefacs as "transparent" translations of something external into the digital: they are materials that have a structural generative role for our artistic research process. Therefore, we ascribe an autonomy to these computational process also with regard to all other material layers involved in this project. This autonomy provides the processes with an identity that is incompressible.
{kind: paragraph, function: comment, keywords: [computation, model, code, program, formulation, autonomy, identity]}
Henri Code used to generate the patterns
def ph[6], freq, coup;ph[i] = randH() * pi2; # starting conditionfreq = 4.0;coup = 0.1;# Kuramoto with nearest neighbors couplingph[i]'() = freq + coup * (sin(_[(i+1)%6] - _[i]) + sin(_[(i+5)%6] - _[i]));ph[i]() = _[i]%pi2;# audification: sonify with sharp gaussian pulses multiplied with for a little individual 'coloring' and to facilitate spatial spreadingout[i]() = gauss(100000.0, sin(ph[i])) * noise();{kind: code, function: experiment, keywords: [synchronization, rhythm, entrainment, Kuramoto, patterns, oscillation, phase, audification, coupling]}---
meta: true
event: almat2020
kind: essay
project: Contingency and Synchronization
date: 200919
author: [LD, DP]
place: Online
keywords: [contingency, synchronization, algorithms, computation, site, listening, emergence, materiality]
---
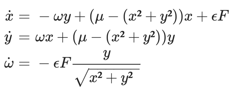
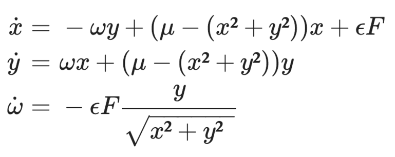
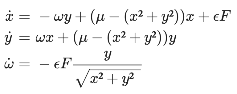
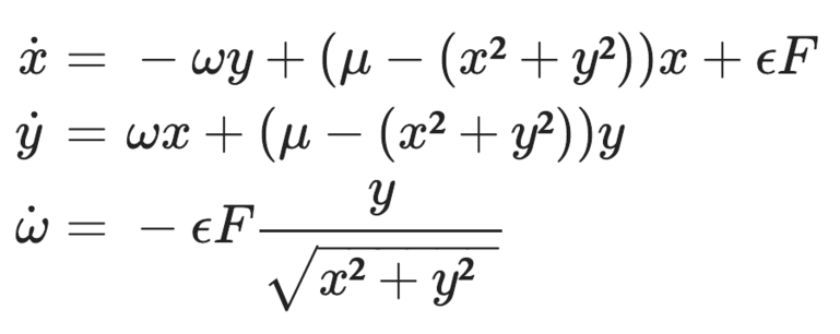
The Adaptive frequency Hopf oscillator
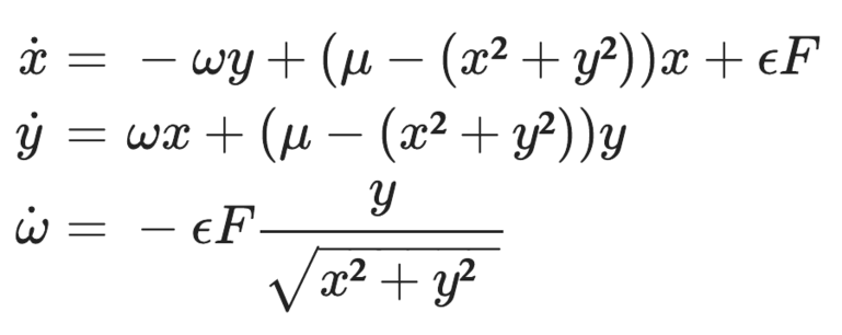
In the second and third iterations we have used a different model. Instead of Kuramoto oscillators we have implemented a system of frequency adaptive Hopf oscillators. These oscillators do not only adapt their phases, but can also adapt their frequencies to some periodic interacting signal. These are so-called limit cycle oscillators (i.e. the oscillation tend to a specific amplitude, see notes on oscillators) and can be formulated in Cartesian coordinates as below. In this formulation the Greek letter omega is the frequency, the letter mu the radius i.e. the amplitude of the limit cycle and epsilon the coupling strength of the oscillator with the external signal "F". Using a symplectic integrator scheme (See notes on numerical integration), we have implemented this oscillator as a Supercollider Ugen available here. In the second iteration, the installation in Ghent, the output of each loudspeaker is an audification of one such oscillators and the input signal "F" is one microphone placed in the space.
{kind: paragraph, function: description, keywords: [hopf, synchronization, oscillator, phase, model, formulation, frequency, coupling, audification]}
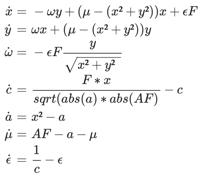
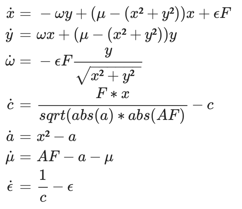
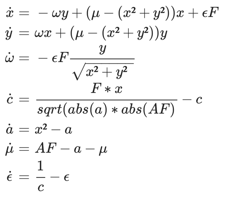
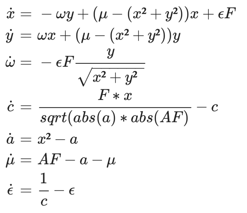
In the third iteration, the online installation we have devised a modified frequency adaptive Hopf oscillator. This more complicated version allows for quicker and more precise frequency adaptation as well as amplitude adaptation. The corresponding system may be written as below. In this formulation the term "AF" stands for the autocorrelation of the input signal. As before, also in this case we have transposed the system into a Supercollider Ugen: the code can be found here.
In the installation, each node of the network corresponds to one such oscillator. The input signal is in this case the microphone signal as well as the audification of the three nearest neighboring oscillators in the network.
{kind: paragraph, function: description, keywords: [hopf, synchronization, oscillator, phase, model, formulation, frequency, coupling, audification]}








